您的位置首页百科知识

γ是一个什么样的数学符号?

γ是一个什么样的数学符号?

的有关信息介绍如下:

Γ,是第三个希腊字母的大写形式(小写γ),读音GAMA 。

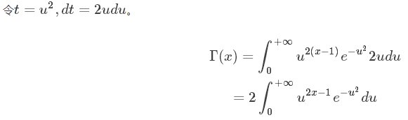
Γ(x)称为伽马函数,它是用一个积分式定义的:

γ是一个什么样的数学符号?

这个函数有以下很美好的性质:

·             Γ(x+1)=xΓ(x)

·             Γ(x)>0,任意x∈(0,+∞)

·             Γ(1)=1

用到概率论中的计算形式是:

γ是一个什么样的数学符号?