回转半径是什么?
的有关信息介绍如下:回转半径是一个物理量,又称惯性半径,是指物体微分质量假设的集中点到转动轴间的距离,转动惯量除以总质量再开平方。 它可以用来计算惯性矩。

物体对于一支直轴的回转半径,是与对于此直轴的转动惯量和物体的质量有关。

特别注意,是个截面二次轴矩,不是惯性张量。
拓展资料
曲率半径

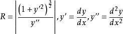
在空间曲线的情况下,曲率半径是曲率向量的长度。在平面曲线的情况下,则R要取绝对值。 [2-3]

其中s是曲线上固定点的弧长,φ是切向角,κ是曲率。如果曲线以笛卡尔坐标表示为
,则曲率半径为(假设曲线可微分)

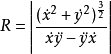
如果曲线由函数
和
参数给出,则曲率半径为

实际上,这个结果可以解释为
这里
。
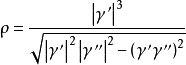
如果
是
中的参数曲线,则曲线各点处的曲率半径
由下式给出:

作为特殊情况,如果f(t)是从R到R的函数,则其图的曲率半径γ(t)=(t,f(t))是

应用
(1)对于差分几何上的应用,请参阅Cesàro方程;
(2)对于地球的曲率半径(由椭圆椭圆近似),请参见地球的曲率半径;
(3)曲率半径也用于梁的弯曲三部分方程中;
(4)曲率半径(光学)。
(5)半导体结构中的应力:



