黎曼积分的公式是什么?
的有关信息介绍如下:原式:S = (1/2) ∫ ρ² (θ) dθ ,θ:π/2->π
= (1/2) ∫ a² e^(2θ) dθ = (1/4) a² e^(2θ) | [π/2,π]
= (1/4) a² [ e^(2π) - e^π]
如图所示:

扩展资料:
积分性质与积分公式
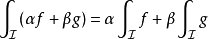
1、线性性
积分是线性的。如果一个函数f 可积,那么它乘以一个常数后仍然可积。如果函数f和g可积,那么它们的和与差也可积。

2、保号性
如果一个函数f在某个区间上黎曼可积,并且在此区间上大于等于零。那么它在这个区间上的积分也大于等于零。如果f勒贝格可积并且几乎总是大于等于零,那么它的勒贝格积分也大于等于零。作为推论,如果两个

上的可积函数f和g相比,f(几乎)总是小于等于g,那么f的(勒贝格)积分也小于等于g的(勒贝格)积分。
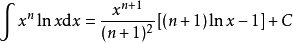
3、含有对数函数的积分







