幂函数的导数是什么?
的有关信息介绍如下:首先,根号表示成幂指数的形式是1/2,。其次再对该幂函数进行求导,幂函数求导公式为

即y=x^(1/2),y'=1/2x^(-1/2)
1、导数(Derivative)是微积分中的重要基础概念。当函数y=f(x)的自变量x在一点x0上产生一个增量Δx时,函数输出值的增量Δy与自变量增量Δx的比值在Δx趋于0时的极限a如果存在,a即为在x0处的导数,记作f'(x0)或df(x0)/dx。
导数是函数的局部性质。一个函数在某一点的导数描述了这个函数在这一点附近的变化率。如果函数的自变量和取值都是实数的话,函数在某一点的导数就是该函数所代表的曲线在这一点上的切线斜率。导数的本质是通过极限的概念对函数进行局部的线性逼近。例如在运动学中,物体的位移对于时间的导数就是物体的瞬时速度。
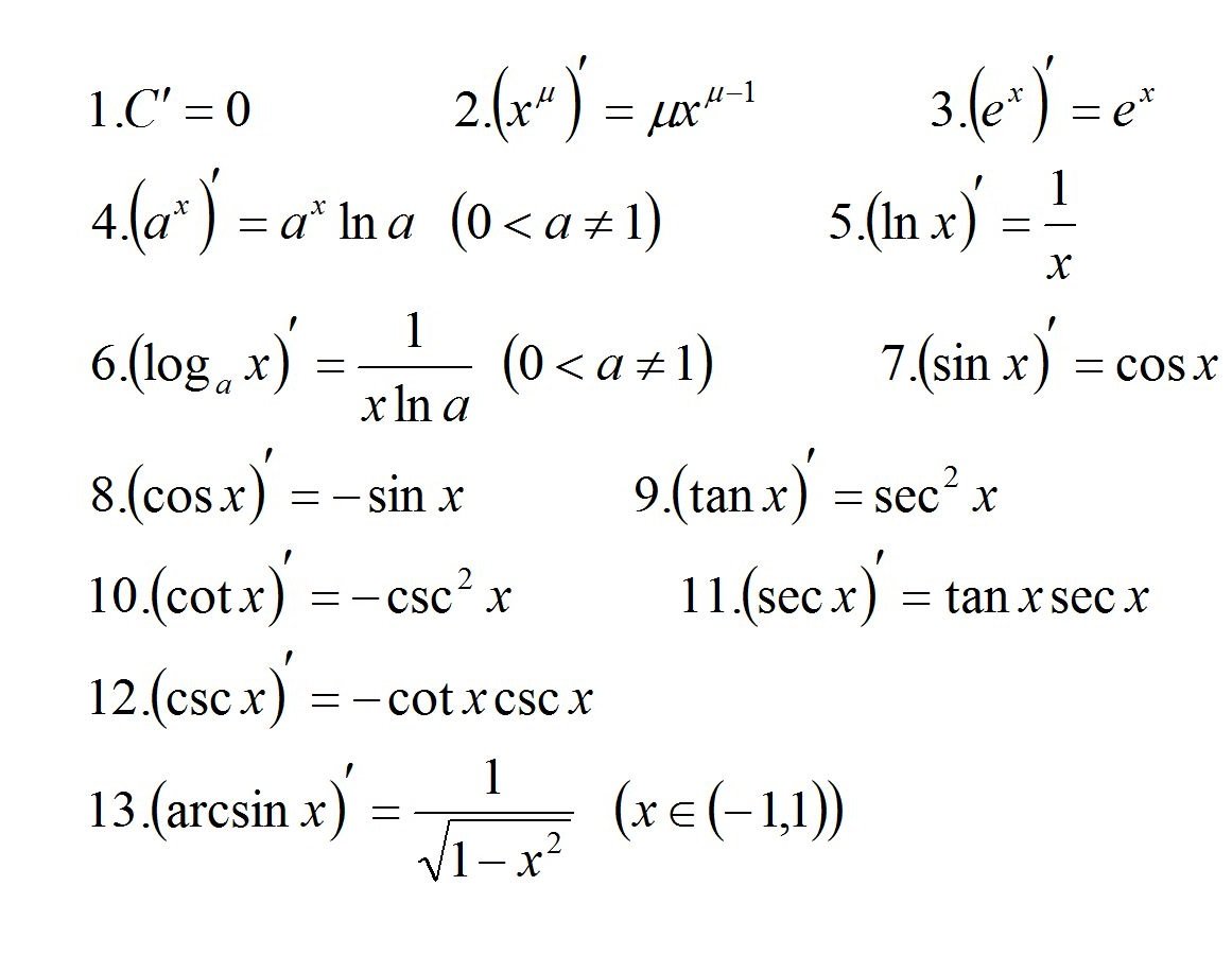
2、导数公式

参考资料:百度百科-导数



