一位全加器的表达式是什么?
的有关信息介绍如下:一位全加器的表达式如下:
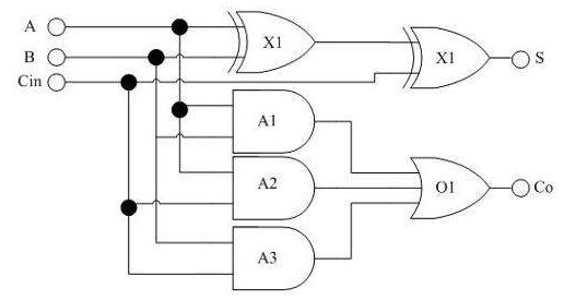
Si=Ai⊕Bi⊕Ci-1

第二个表达式也可用一个异或门来代替或门对其中两个输入信号进行求和:

其中Ai为被加数,Bi为加数,相邻低位来的进位数为Ci-1,输出本位和为Si。向相邻高位进位数为Ci。一位全加器可以处理低位进位,并输出本位加法进位。多个一位全加器进行级联可以得到多位全加器。常用二进制四位全加器74LS283。

扩展资料
一位全加器如果要实现多位加法可以进行级联,就是串起来使用;比如32位+32位,就需要32个全加器;这种级联就是串行结构速度慢,如果要并行快速相加可以用超前进位加法,超前进位加法前查阅相关资料。
如果将全加器的输入置换成A和B的组合函数Xi和Y(S0…S3控制),然后再将X,Y和进位数通过全加器进行全加,就是ALU的逻辑结构结构。
即 X=f(A,B),Y=f(A,B),不同的控制参数可以得到不同的组合函数,因而能够实现多种算术运算和逻辑运算。
参考资料来源:百度百科-一位全加器
参考资料来源:百度百科-全加器



