夏块合采井单层原油产量计算
的有关信息介绍如下:一、原油特征及组成变化规律
1.单层特征谱图
(1)沙二段单层特征谱图
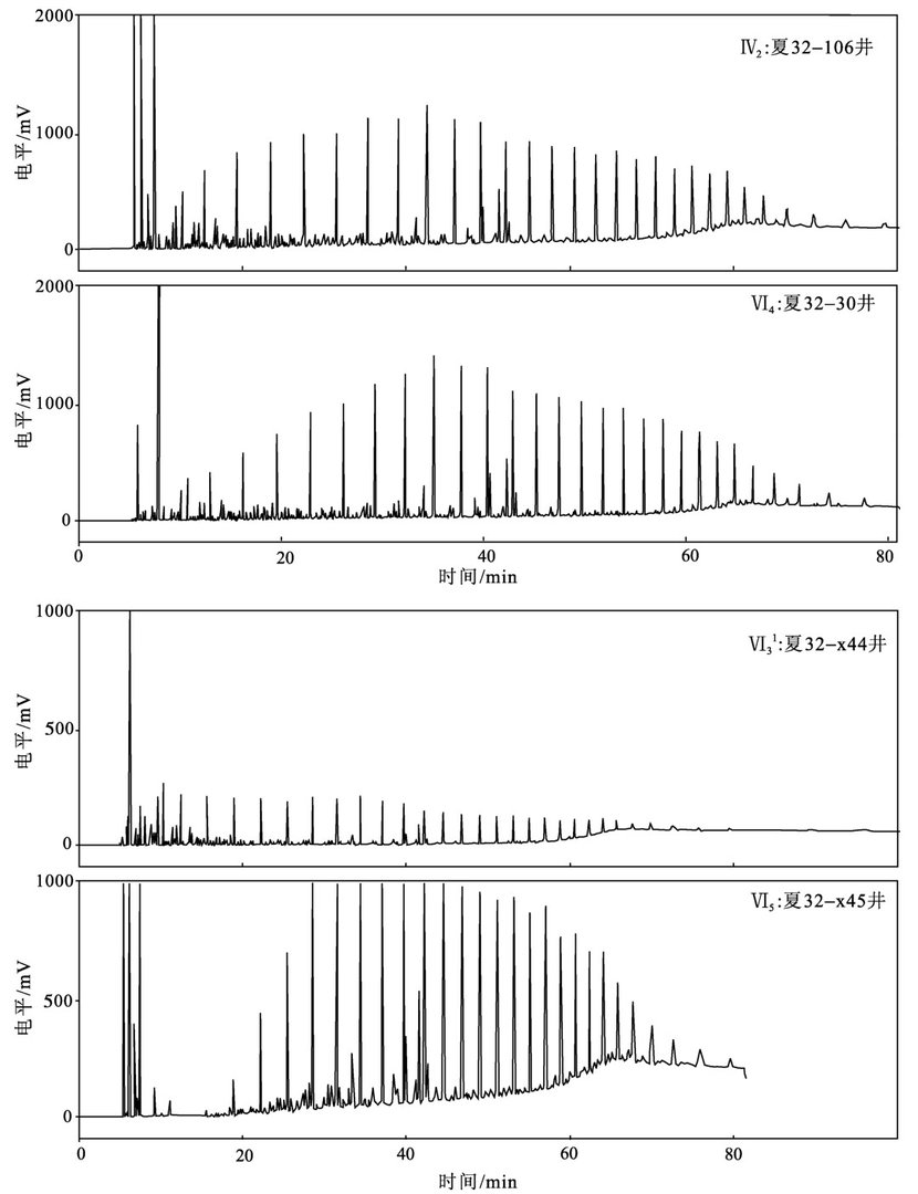
夏32块沙二段自上而下分为Ⅰ—Ⅶ7个砂组,各单层特征谱图见图6-11,图6-12。
Ⅰ砂组无单采井。Ⅱ砂组分为2个砂层:Ⅱ1砂层仅有夏32-102井单采;Ⅱ2砂层也仅有1口单采井,即夏32-104井。Ⅲ砂组分为4个砂层,均无单采井。Ⅳ砂组分为2个砂层;Ⅳ1砂层无单采井;Ⅳ2砂层仅有1口单采井,即夏32-x106井。Ⅴ砂组分为5个砂层:Ⅴ1,Ⅴ2,Ⅴ3和Ⅴ5砂组均无开发井;Ⅴ4砂组仅有1口单采井夏32-x6井,也是唯一的1口开发井。
Ⅵ砂组分为5个砂层:Ⅵ1,Ⅵ2均无单采井;Ⅵ5只有1口单采井,即夏32-x45井;Ⅵ4有两口单采井夏32-x2井和夏32-30井。这两口井均在2000年4月和7月两次采样分析。2000年4月两井原油组成相似,无论是正构烷烃还是异构烷烃组成都很相似,而2000年7月两井样品稍有差异,首先是夏32-30井原油饱和烃轻质部分含量较高,而夏32-x2井原油含量较低,其次是两井原油异构烷烃轻质部分也有一些微小的差别。因此,对Ⅵ4砂层特征谱图的选择以距合采井最近为原则。
Ⅵ3砂层又可细分为
1,Ⅶ3和Ⅶ4均无单采井;仅Ⅶ2砂层有1 口单采井,但未取到原油样品。
(2)沙三上单层特征谱图
夏32块沙三上自上而下分为5个砂组。Ⅰ砂组又分为7个砂层:Ⅰ1,Ⅰ4,Ⅰ5和Ⅰ6砂层均无单采井;Ⅰ3和Ⅰ7砂层各有1 口单采井,分别为夏32-12井和夏32-x9井;Ⅰ2砂层有3口单采井,分别是夏32-x3井、夏32-24井和夏32-40井。夏32-x3井于2000年4月和10月两次采样分析,谱图基本一致。夏32-24井1999年1月和8月原油谱图区别明显,前者饱和烃轻质部分含量偏高,后者较低。夏32-40井情况与夏32-24井相似,也是1999年1月样品饱和烃轻质部分含量高,而2000年7月样品含量偏低。通过两口井原油的色谱对比发现,其异构烷烃组成变化微小,可选择距合采井较近者作为特征谱图。

图6-11 夏32块沙二段各单层特征谱图(一)

图6-12 夏32块沙二段各单层特征谱图(二)
Ⅱ砂组分为4个砂层,其中Ⅱ1,Ⅱ3和Ⅱ4有五口单采井,Ⅱ2只有1口单采井夏32-x505井。Ⅲ砂组分为5个砂层,均无单采井。Ⅳ砂组分为4个砂层:Ⅳ1,Ⅳ3和Ⅳ4均无单采井;仅Ⅳ2有1口单采井,即夏327井。Ⅴ砂组的6个砂层均无单采井。
2.单层原油组成平面变化规律
夏32-704井沙三下原油与沙三上和沙二段原油相比,总体组成特征是相近的,而且该井两次采样分析结果几乎完全一致,说明了单层原油组成的稳定性。
沙三上Ⅰ2砂层的单采井有3口,即夏32-x3井、夏32-24井和夏32-40井。3口井的烃类组成基本一致,相比之下夏32-40井和夏32-24井相似程度更高,它们与位于构造高部位的夏32-x3井之间的差别稍大一些,这种现象可能与原油充注过程造成的横向成分变化有关,尽管这种变化很小,但仍然保留至今。
沙二段
夏32块沙三上各单层特征谱图见图6-13。
二、沙二段合采井单层原油产量
夏32块含油层系较多,所采原油样品除夏32-704井开采层位为沙三下以外,其他井开采层位均为沙三上和沙二段。故本节主要研究沙三上和沙二段单层原油产量情况。
1.沙二段合采井情况
夏32块沙二段合采井有8 口井取到样品。其中两层合采井有4 口,即夏32-7井、夏32-22井、夏32-23井和夏32-109井;三层合采井有2口,即夏32-14井和夏32-204井;四层合采井有2口,即夏32-x46井和夏32-203井。
2.沙二段两层合采井单层原油产量
(1)夏32-7井
夏32-7井是沙二段

表6-11 夏32-7井原油单层产量计算特征指纹化合物比值
表6-12 夏32-7井原油单层产量计算结果

图6-13 夏32块沙三上各单层特征谱图
(2)夏32-23井
该井以沙二段Ⅵ4和Ⅵ5砂层合采。Ⅵ4单采井有夏32-x2井和夏32-30井,以夏32-x2井为代表。Ⅵ5单采井为夏32-x45井。从色谱宏观特征比较,Ⅵ5单采井夏32-x45井原油C11以前的组分含量较少,可能为水洗所致,表明该井Ⅵ5砂层已经水淹。而合采井C11以前组分有较高含量,与Ⅵ4层的烃类组成较相似。定量计算结果见表6-13。
表6-13 夏32块合采井单层原油贡献计算结果
该井1999年7月平均日产油6.8t,含水50.5%。至2000年4月平均日产油5t,含水85.6%。据分析水主要来自Ⅵ5砂层。从夏32-x45井2000年7月和10月两次分析采样结果判断,轻质烃(C11以前)含量迅速减少,水洗程度加剧。建议封闭夏32-23井Ⅵ5砂层。
(3)夏32-109井
该井以沙二段Ⅴ1和Ⅴ2砂层合采,均没有单采井。2000年4月12日日产油6.0t,含水61.3%。未有措施建议。
(4)夏32-22井
该井以Ⅶ1和Ⅶ2砂层合采。Ⅶ1砂层无单采井,Ⅶ2砂层单采井为夏32-41井。夏32-22井原油色谱与Ⅶ2砂层单采井夏32-41井原油非常相似,可能Ⅶ2砂层为夏32-22井的主要产层。
2000年4月12日该井日产油8.3t,含水89.3%。未有措施建议。
3.沙二段三层及三层以上合采井单层原油产量
(1)夏32-14井
该井为沙二段Ⅵ3,Ⅵ4砂层合采。沙二段Ⅵ3砂层单采井为夏32-x44井。Ⅵ4砂层单产井有夏32-x2井和夏32-30井,以夏32-x2井为代表计算两层系的相对贡献(表6-13)。
夏32-14井紫外吸收曲线形状与Ⅵ3砂层相似,可能说明夏32-14井以沙二段Ⅵ3砂层为主,Ⅵ4砂层为辅。该井1999年7月平均日产油4.4t,含水86.6%;2000年4月12日日产油4.2t,含水87.0%。暂无措施建议。
(2)夏32-204井
该井为
虽然Ⅵ4砂层在夏32-x2井处仍然产油,但据油藏数值模拟结果,在夏32-204井处含油饱和度很低,可能不再出油。建议封闭Ⅵ4砂层。
从夏32-49x(
(3)夏32-203井
该井以沙二段Ⅴ1,Ⅴ2,Ⅴ3和Ⅴ4砂层合采。Ⅴ1,Ⅴ2和Ⅴ3砂层均没有单采井,现仅有Ⅴ4砂层单采井夏32-x6井。
夏32-x6井Ⅴ4 砂层原油色谱与夏32-203井有较明显的区别,可能是由于夏32-x6井与夏32-203井相距较远,也可能是由于Ⅴ4 砂层不是夏32-203井的主力产层所致。
夏32-203井处含油饱和度较低,边水舌进。该井1999年7月平均日产油4.8t,含水75.5%;至2000年4月12日已不出油。该井可考虑转注。
(4)夏32-x46井
该井沙二段Ⅵ2,
从以上各层紫外吸收曲线分析也可知,夏32-x46井产层应以
从含油情况来看,夏32-x46井附近
三、沙三上合采井单层原油产量
1.沙三上合采井情况
夏32块沙三上合采井有6口井取到样品。其中两层合采井有3口,即夏32-x48井、夏32-13井和夏32-508井;三层合采井有2口,即夏32-502井和夏32-11井;只有夏32-35井1口五层合采井。
2.两层合采井单层原油产量
(1)夏32-48井
该井以沙三上Ⅰ2和Ⅰ3砂层合采。Ⅰ2砂层单采井为夏32-x3井、夏32-24井和夏32-40井,选择夏32-40井为代表。
夏32-48井1999年7月平均日产油7.9t,含水87.5%;2000年4月12日日产油3.4t,含水82.7%。水可能主要来自
(2)夏32-13井
该井以沙三上Ⅱ1和Ⅱ2砂层合采。Ⅱ1砂层无单采井,Ⅱ2砂层单采井为夏32-505井。夏32-13井色谱与Ⅱ2砂层单采的夏32-505井非常相似,推测夏32-13井原油主要产自Ⅱ2砂层。但由于夏32-505井与夏32-13井相距较远,推测结果的可靠性较差。暂无建议。
(3)夏32-508井
该井沙三上Ⅳ4和沙三中Ⅱ1砂层合采,两层均无单采井。从单采Ⅳ2砂层的夏327井原油色谱来看,与夏32-508井差别明显,如Ⅳ4砂层和Ⅳ2砂层原油组成相差不大,则可推测夏32-508井以沙三中Ⅱ1砂层产油为主。暂无建议。
3.三层及三层以上合采井单层原油产量
(1)夏32-502井
该井以沙三上Ⅰ7,
2000年4月12日该井日产油35.6t,含水75.4%。水可能主要来自
(2)夏32-11井
砂层和Ⅳ2砂层合采。
(3)夏32-35井
该井以沙三上Ⅱ1,
1999年7月该井日产油8.0t,含水91.5%。暂无措施建议。



