扇形的面积怎么计算?
的有关信息介绍如下:小学扇形面积公式:S扇形=(nπR的平方)/360.
其中 n表示扇形圆心角的度数,派表示圆周率,R表示半径。
因为圆形为360度,扇形就是N度角的圆形,所以:
1、n度圆形(扇形)面积为:

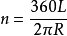
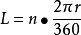
2、n度圆形(扇形)所对应的弧长为:
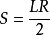
,所以,
,带入表达式中,
即扇形面积为


扩展资料:
圆弧为180°的扇形称为半圆。其他圆弧角的扇形有时给予其特别的名字,其中包括象限角(90°)、六分角(60°)以及八分角(45°),它们分别是整圆的1/4、1/6、1/8。
组成部分:
1、圆上A、B两点之间的的部分叫做“圆弧”简称“弧”,读作“圆弧AB”或“弧AB”。
2、以圆心为中心点的角叫做“圆心角”。
3、有一种统计图就是“扇形统计图"。
参考资料来源:百度百科——扇形面积



